ASTM 1155

ASTM E1155M is an international test method that defines how to measure and report floor flatness (FF) and floor levelness (FL) using a digital or analog profiler. It provides the metric (SI) counterpart to ASTM E1155. which is widely used in construction to evaluate the surface profile quality of concrete floors.

1. Classification

An FF and FL number will be specified for each local area and the overall area.  A higher number indicates a better flatness or levelness. The above properties should be tested, by random sampling along straight lines, in the following manner:

Floor Surface Classification
Specified Overall Flatness (FF)
Specified Overall Levelness (FL)

Conventional

20

15

Moderately flat

25

20

Flat

35

25

Very flat

45

35

Superflat

60

40

2. Survey Procedure

The Dipstick device is traversed manually along predefined survey paths between designated start and stop points, with elevation data recorded digitally at fixed intervals.

Upon completion of each run, the recorded data are transferred to a smartphone, allowing immediate continuation with subsequent runs. After the entire floor area has been surveyed, the smartphone is connected to a laptop or PC for full dataset processing.

From the same survey data, both overall and local FF and FL values are calculated. The software generates the corresponding statistical results tables for compliance verification.

3. Survey Planning:

A digital profilograph or dip-stick records elevation points.

Points are taken every 300 mm along straight test lines.

No test section boundary shall cross a construction joint.

No survey run should be less than 3.3 metres. No part of any survey run shall be within 0.6 metres of any test section boundary, wall, penetration or similar discontinuity.

Survey runs parallel with the longest test boundary should be of equal length and amount to those at 90 degrees to the longest test boundary

The minimum reading number (Nmin) to be collect is calculated by these formulas:

  • if the area is bigger than 150 m2 then the Nmin is A/30
  • If the area is smaller than 150 m2 then the Nmin is 2√A

4. Calculations

a)     FF Number:

Step 1 – Calculate Successive Elevation Differences

For each 300 mm step:

This gives small local slope changes.

Where h represents points elevations

Step 2 – Calculate Curvature (Difference of Differences)

This represents short-range waviness (bump or dip), which affects the Reach trucks’ movement.

Along each of the straight lines measured, the curvature profile is obtained, represented  parameter, q, in millimetres – see below

Step 3 – Statistical Processing

  • Calculate the standard deviation (Sq) of all values.
  • Convert it into the FF number using ASTM formula.

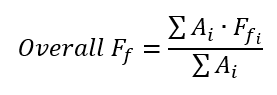
The calculated FF value represents the flatness of the individual surveyed section. This representation is valid only when the survey run lengths within the section are equal, ensuring consistent statistical weighting.

The overall FF value for the entire floor is then determined from the sectional results. When all sections have equal area (and equivalent survey weight), the overall FF may be calculated as the arithmetic mean of the sectional FF values.

If section areas differ, weighted averaging based on survey length or area is required to obtain a statistically correct overall FF value.

Interpretation

  • High FF → smoother surface
  • Low FF → more bumps

FF controls ride quality and vibration.

b)     FL Number

Step 1 – Use Elevation Differences

Similarly to FF, we start with the elevation differences calculations. But here, since FL calculates the long wave levelness. We should calculate the difference not between each step (d) but between each 3m (10 steps) (z) in mm

Step 2 – Statistical Processing

  • Calculate standard deviation of these slope values.
  • Convert into FL number using ASTM formula.
  • Similarly to FF, calculate the overall FL value.

Interpretation

  • High FL → floor is more level (less tilt)
  • Low FL → floor has more slope variation

FL controls stacking verticality.

Explore more

Laser Grinding

Our advanced measurement technologies and engineering methods

International Flatness Standards

Detaily understand the flatness standards like ASTM, TR34 and VDMA

Importance of Floor Flatness

Why floor flatness can affect the operation's speed, safety, and cost..

Get In Touch
Find Us
Follow Us

Send us a message

Bu formu bitirebilmek için tarayıcınızda JavaScript'i etkinleştirin.